中科大临床试验表明NAD+注射缓解心衰,使心脏恢复年轻
NAD+提升有潜力成为对抗心衰的有力疗法。
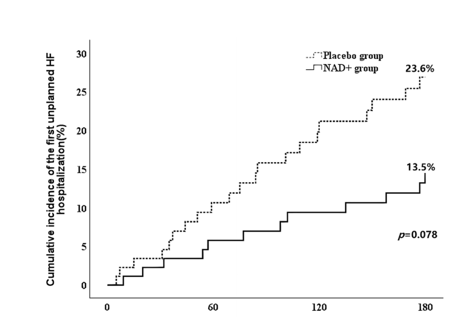
心脏是身体里永不疲倦的“泵”,它日夜运作,不停把血液泵到全身各处。而心力衰竭(heart failure, HF),就是心脏的功能逐渐受损,导致心脏泵出来的血液量不足,废料带不走,养料输送不过来,身体由此陷入重大危机。 随着人口老龄化家具,冠心病、糖尿病等常见老年病高发,而这两类疾病会直接损害心脏功能,是心衰的主要推手。近年来,全球的心衰患者已经攀升到了6400万人,发病率和死亡率仍然持续上升中。 死神常在心衰患者的身边徘徊,世界卫生组织(WHO)的数据显示,心衰患者的五年生存率仅有50%,已经和部分癌症相当 。同时,心衰会极大地降低患者的生活质量——他们会频繁住院,生活节奏不停被中断,还需要支出一笔沉重的医疗花费。 在心力衰竭中,缺血性心肌病(Ischemic cardiomyopathy, ICM)是最常见的病因,在慢性心衰中能占到三分之二的比例。虽然心衰的治疗方法正在不断发展,与缺血性心肌病相关的心衰的治疗效果仍然不太理想,在这背后,是因为心肌细胞的能量工厂——线粒体的功能出现了障碍,导致心肌细胞大量死亡,心肌损伤与变形,发生肥大化与纤维化,导致治疗效果不好。 烟酰胺腺嘌呤二核苷酸(Nicotinamide adenine dinucleotide, NAD+)是细胞能量工厂的传送带,是维持细胞正常能量代谢必不可少的分子。科学家们注意到在心衰患者体内,NAD+的含量显著下降,这也是线粒体的功能障碍的主要原因。 随后导致的心肌细胞氧化应激和凋亡,会加速细胞功能障碍和死亡。随着心肌细胞逐渐丧失或失能,心脏整体泵血能力下降,最终导致心衰的发生和进展。 根据这种致病机制,研究人员提出了补救方法:从外部补充NAD+。 在缺血性心衰小鼠内,补充外源NAD+能够有效提升心肌NAD+水平,从而修复线粒体功能,减轻心脏功能的退化,缩小心肌细胞死亡的面积,显著改善心脏功能。 在这个临床前实验的基础上,中国科技大学的团队继续推进,开展了临床试验,验证在人体内直接补充NAD+对心衰是否有缓解作用。 中科大招募了180名患者,按1:1的比例将患者分为了NAD+组和安慰剂组,在继续接受心衰标准治疗的基础上,患者连续7天、每天接受一次10mg NAD+或者是安慰剂的静脉注射,也就是我们俗称的打点滴。 在接受完静脉注射一个月后,NAD+组与安慰剂组会回到医院,来测试其心脏左心室射血分数(LVEF),也就是测试心脏的泵血能力,治疗后的六个月内,研究人员会对他们进行随访,记录他们这段时间的心血管不良事件,以及心脏功能改善的情况。 结果显示:一个月后,NAD+组的LVEF有着显著提升,心功能也得到改善,说明他们的心脏泵血功能有着明显的恢复;在六个月的随访期内,NAD+组发生心血管不良事件的概率要低得多,生活质量也有了很大的提升。 不过,这次临床试验还存在着局限性。虽然心脏泵血的能力更强了,但是患者心脏的结构却没有改变,可能是研究周期和治疗时间还太短,无法逆转心脏的退化。 未来还需要继续补充规模更大,测试指标更多的临床试验,进一步验证NAD+补充的疗效和安全性,也要继续探索最佳剂量、给药途径以及治疗时机。 虽然在这项临床试验中,NAD⁺ 注射展现出了良好的疗效和安全性,但这毕竟只是一次前瞻性研究。而且,参与试验的患者都是在医生的严密监控下完成治疗的,药物的剂量和使用方式都经过严格控制。 需要强调的是,NAD⁺ 并不是所谓的“长生不老药”,更不是一种医美手段。目前我们还远不能像注射胶原蛋白或玻尿酸那样,把 NAD⁺ 注射作为常规操作。 不过,我们尽可以期待,在未来的某一天,随着足够多的技术改进和大规模临床试验的验证,NAD⁺ 有望真正成为延缓衰老、改善健康寿命的一种手段,从而惠及更多人群。 参考文献:心衰的巨大威胁正在迫近

NAD+的下降是心衰的重要病因
临床试验证明注射NAD+对心衰的治疗作用


NAD+疗法未来可期,但仍需谨慎
Lin, Y., Zeidan, R.S., Lapierre-Nguyen, S. et al. Nicotinamide riboside combined with exercise to treat hypertension in middle-aged and older adults: a pilot randomized clinical trial. GeroScience (2025). https://doi.org/10.1007/s11357-025-01815-2
京公网安备 11010502053836号



